Pergunte ao Mago #391
1² + 2² + 3² + ... + n² = ?
Aqui está minha solução . (PDF)
Suponha que você lance uma moeda honesta um milhão de vezes. Usando apenas uma calculadora simples com as cinco operações aritméticas básicas (+, 0, *, /, ^), qual é a probabilidade de obter exatamente o mesmo número de caras e coroas? Uma estimativa aproximada será suficiente.
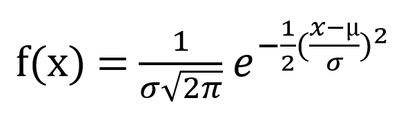
Relembre a equação da curva normal padrão:

O número esperado de caras em um lançamento é 0,5 e o quadrado do número esperado de caras também é 0,5. Assim, a variância do número de caras em um lançamento é 0,5 - (0,5) ² = 0,5 - 0,25 = 0,25. A variância de um milhão de lançamentos é 1.000.000 * 0,25 = 250.000. O desvio padrão de um milhão de lançamentos é a raiz quadrada disso: √(250.000) = 5.000.
Seja x o número de caras dividido pelo número esperado de 500.000. A média de x é zero. Como mostrado, o desvio padrão de x é 5.000.
A probabilidade de x=0 é, portanto:

Isso se simplifica para 1/(5000*sqrt(2*π)) =~ 0,000797885 =~ 1 em 1253,314137.
Ligações
Entrada da Wikipédia sobre a curva normal padrão .
Você está andando de bicicleta em uma pista de exercícios a 24 km/h. Na mesma pista, há corredores a 8 km/h. Há o mesmo número de corredores em cada direção. Qual a proporção de corredores que você ultrapassar que estarão indo na direção oposta à sua?
Considere que o percurso tem 15 milhas de extensão.
O ciclista encontrava corredores que começavam do outro lado em um intervalo de 3 horas antes de eu começar até 1 hora depois, totalizando 4 horas de encontros com corredores.
Seguindo na mesma direção, o ciclista encontrava corredores que haviam saído desde 2 horas antes de mim até ao mesmo tempo, num total de 2 horas.
Assim, o dobro de corredores estaria indo na direção oposta. A razão entre corredores indo na direção oposta e todos os corredores é 4/(2+4) = 2/3.
Em relação aos corredores que seguem na mesma direção, sua velocidade é de 15-5 = 10 mph.
Em relação aos corredores que vão na direção oposta, sua velocidade é de 15 + 5 = 20 mph.
Portanto, você cruzará com o dobro de corredores indo na direção oposta. Isso resulta em uma proporção de 2/(1+2) = 2/3.
Essa pergunta é feita e discutida no meu fórum, Wizard of Vegas .