Pergunte ao Mago #422
Para fins de argumentação, supondo um jogo de blackjack com um número infinito de baralhos, onde o re-splitamento é permitido infinitamente e o jogador dividirá qualquer par, qual é a probabilidade de qualquer número dado de mãos finais que o jogador jogar?
A probabilidade de dividir novamente em n mãos é (combin(2*(n-1),n-1)/n) × (1/13)^(n-1) × (12/13)^n . Para mais informações sobre esse primeiro termo, com o qual precisei de ajuda, pesquise sobre números catalães .
A tabela a seguir mostra a probabilidade de 1 a 20 mãos finais. A coluna dos segundos indica o número de "árvores", que é o número catalão na expressão acima.
| Mãos | Árvores | Probabilidade |
|---|---|---|
| 1 | 1 | 0,9230769230769 |
| 2 | 1 | 0,0655439235321 |
| 3 | 2 | 0,0093080128093 |
| 4 | 5 | 0,0016523099661 |
| 5 | 14 | 0,0003285065968 |
| 6 | 42 | 0,0000699777366 |
| 7 | 132 | 0,0000156163334 |
| 8 | 429 | 0,0000036037693 |
| 9 | 1430 | 0,0000008529631 |
| 10 | 4862 | 0,0000002059225 |
| 11 | 16796 | 0,0000000505114 |
| 12 | 58786 | 0,0000000125531 |
| 13 | 208012 | 0,0000000031540 |
| 14 | 742900 | 0,0000000007998 |
| 15 | 2674440 | 0,0000000002045 |
| 16 | 9694845 | 0,0000000000526 |
| 17 | 35357670 | 0,0000000000136 |
| 18 | 129644790 | 0,0000000000035 |
| 19 | 477638700 | 0,0000000000009 |
| 20 | 1767263190 | 0,0000000000002 |
Ouvi dizer que existem infinitos ternos pitagóricos. Existe alguma fórmula para encontrá-los?
Sim, existem infinitos ternos pitagóricos únicos! Para quem não está familiarizado com o termo, são triângulos retângulos onde cada lado é um número inteiro. O 3-4-5 é o mais famoso. Para obter um terno pitagórico único (ou seja, não redutível), escolha quaisquer valores inteiros para a e b, onde a < b e um seja ímpar e o outro par.
- Perna 1 = b 2 - a 2
- Perna 2 = 2ab
- Hipotenusa = a² + b²
A tabela a seguir mostra todos os ternos pitagóricos irredutíveis em que todos os lados medem 101 ou menos.
| a,b | Etapa 1 | Etapa 2 | Hipotenusa |
|---|---|---|---|
| 1,2 | 3 | 4 | 5 |
| 1,4 | 8 | 15 | 17 |
| 1,6 | 12 | 35 | 37 |
| 1,8 | 16 | 63 | 65 |
| 1,10 | 20 | 99 | 101 |
| 2,3 | 5 | 12 | 13 |
| 2,5 | 20 | 21 | 29 |
| 2,7 | 28 | 45 | 53 |
| 2,9 | 36 | 77 | 85 |
| 3,4 | 7 | 24 | 25 |
| 3,6 | 27 | 36 | 45 |
| 3,8 | 48 | 55 | 73 |
| 4,5 | 9 | 40 | 41 |
| 4,7 | 33 | 56 | 65 |
| 4,9 | 65 | 72 | 97 |
| 5,6 | 11 | 60 | 61 |
| 5,8 | 39 | 80 | 89 |
| 6,7 | 13 | 84 | 85 |
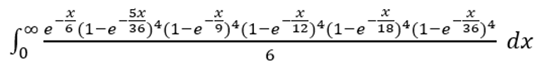
Qual é a probabilidade de se obter, com dois dados, pelo menos duas vezes qualquer total diferente de sete antes de se obter um sete?
O truque para resolver questões como essa é que a probabilidade é a mesma se o intervalo de tempo entre os lançamentos seguir uma distribuição exponencial com média igual a 1. Nesse caso, ela pode ser expressa pela seguinte fórmula.

Para escrever em formato de texto: exp(-x/6)*(1-exp(-5x/36))^4*(1-exp(-4x/36))^4*(1-exp(-3x/36))^4*(1-exp(-2x/36))^4*(1-exp(-1x/36))^4/6
Para resolver essas integrais, recomendo esta Calculadora de Integrais .
A resposta é 7864581698887803455719/10946915593544650625105200 =~ 0,0007184290069364848.