Sequência de Fibonacci parte 3
Esta semana, iniciamos uma série de três partes sobre a Sequência de Fibonacci, que aparece em diversos lugares tanto na matemática quanto na natureza. No entanto, antes de chegarmos a isso, apresento o nosso habitual enigma lógico semanal.
Quebra-cabeça lógico
Na imagem abaixo, desenhe quatro linhas, sem levantar a caneta do papel, que passem por todos os nove pontos.


Sequência de Fibonacci parte 3
Esta semana, continuaremos nossa análise da Sequência de Fibonacci. Antes de prosseguirmos, permita-me defini-la:
F <sub>n</sub> = n- ésimo número na sequência de Fibonacci.
Esta semana mostrarei uma fórmula para obter diretamente qualquer termo da sequência de Fibonacci sem precisar definir nenhum termo anterior.
Na newsletter da semana passada, mostrei como a razão entre um número de Fibonacci e o anterior na sequência se aproxima de Φ quando n tende ao infinito. Φ é uma das duas soluções da equação abaixo e é conhecida como a Proporção Áurea.
Φ 2 – Φ – 1 = 0
Reorganizar:
(1) Φ 2 = Φ + 1
Em seguida, multiplique ambos os lados da equação (1) por Φ:
Φ 3 = Φ 2 + Φ
6;font-family: 'Open Sans',sans-serif;color: #313131!important; margin-top: 20px;">= Φ + 1 + Φ (substituindo o valor de Φ 2 na equação (1) acima)= 2 Φ + 1
Em seguida, multiplique ambos os lados da equação (1) por Φ 2 :
Φ 4 = Φ 3 + Φ 2
= (2 Φ + 1) + (Φ + 1) (substituindo os valores de Φ 3 + Φ 2 acima)
=3 Φ + 2
Em seguida, multiplique ambos os lados da equação (1) por Φ 3 :
Φ 5 = Φ 4 + Φ 3
= (3 Φ + 2) + (2Φ + 1) (substituindo os valores de Φ 3 + Φ 2 acima)
=5 Φ + 3
Em seguida, multiplique ambos os lados da equação (1) por Φ 4 :
Φ 6 = Φ 5 + Φ 4
= (5 Φ + 3) + (3Φ + 2) (substituindo os valores de Φ 3 + Φ 2 acima)
=8 Φ + 5
Em seguida, multiplique ambos os lados da equação (1) por Φ 5 :
Φ 7 = Φ 6 + Φ 5
= (8 Φ + 5) + (5Φ + 3) (substituindo os valores de Φ 3 + Φ 2 acima)
=13 Φ + 8
Você está percebendo algum padrão?
(2) Φ n = F n Φ + F n-1
Lembre-se de que existem duas soluções para a equação Φ 2 – Φ – 1 = 0. Usando a fórmula de Bhaskara, vamos definir as duas soluções como x e y.
6;font-family: 'Open Sans',sans-serif;color: #313131!important; margin-top: 20px;"> x = 1 + √5 2y = 1 - √5 2
Substituindo essas soluções na equação (2):
(3) x n = F n x + F n-1
(4) y n = F n y + F n-1-
Subtraindo a equação (4) da equação (3):
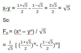
x n – y n = F n x - F n y
x n – y n = F n (xy)
F n = (x n – y n ) / (xy)
Vamos voltar a x e y, conforme definidos acima.

Sei que calcular um número de Fibonacci dessa forma seria complicado. No entanto, ainda acho incrível que exista uma forma pura para qualquer número de Fibonacci.
Gostaria de dar os créditos ao canal blackpenredpen no YouTube pelo método apresentado nesta newsletter. Ele pode ser encontrado no vídeo " A fórmula do n-ésimo termo da sequência de Fibonacci a partir de uma equação quadrática".
Resposta do quebra-cabeça lógico
